技術資料
紫外線を利用した水環境中に含まれる医薬品の除去効果について(その3)
製造本部 光応用開発部 光プロセス開発課
京都大学大学院 工学研究科 金 一昊
キーワード
PPCPs(=Pharmaceuticals and Personal Care Products:日常で使用している医薬品や化粧品),物理化学的処理,促進酸化処理,下水二次処理水,紫外線,酸化剤,pH,水温,過酸化水素(H₂O₂)
3.実験結果及び考察
純水を用いて1.5h処理した時,185lampは30種類,254lampは19種類の医薬品の初期濃度の90%以上を除去することができた。
過酸化水素を添加して,促進酸化処理を行なった場合は30種類の物質すべてが90%以上除去することができた。
また,これらはUV投入エネルギー[kWuv・h/m³]を横軸に,PPCPs残存率log(Ct/Co)[-]を縦軸にプロットすると擬一次式で表されることが分かったので,反応速度定数k[m³/(kWuv・h)]を求め,反応速度定数と物質の分子量,構造式について比較,検討を行った。
その反応速度定数と化学式,分子量を表2に示す。
| No. | 物質名 | 化学式 | 分子量 | 反応速度定数 [m³/(kWuv・h)] | ||
|---|---|---|---|---|---|---|
| 254lamp alone | 185lamp alone | 254lamp +H₂O₂ | ||||
| 1 | Acetaminophen | C₈H₉NO₂ | 151.2 | 0.93 | 5.43 | 10.03 |
| 2 | Antipyrine | C₁₁H₁₂N₂O | 188.2 | 15.71 | 12.59 | 21.65 |
| 3 | Carbamazepine | C₁₅H₁₂N₂O | 236.3 | 0.39 | 3.25 | 15.39 |
| 4 | Clarithromycin | C₃₈H₆₉NO₁₃ | 748.0 | 0.07 | 1.58 | 8.47 |
| 5 | Clenbuterol | C₁₂H₁₈C₁₂N₂O | 277.2 | 2.64 | 9.54 | 11.79 |
| 6 | Crotamiton | C₁₃H₁₇NO | 203.3 | 1.34 | 3.28 | 14.58 |
| 7 | Cyclophosphamide | C₇H₁₅C₁₂N₂O₂P | 261.1 | 0.15 | 1.34 | 6.73 |
| 8 | Diclofenac | C₁₄H₁₀C₁₂NNaO₂ | 296.2 | 35.47 | 31.95 | 43.63 |
| 9 | N,N-diethyl-m-toluamide | C₁₂H₁₇NO | 191.3 | 0.24 | 2.32 | 11.69 |
| 10 | Disopyramide | C₂₁H₂₉N₃O | 339.5 | 7.60 | 7.19 | 16.27 |
| 11 | Ethenzamide | C₉H₁₁NO₂ | 165.2 | 0.22 | 2.18 | 12.03 |
| 12 | Fenoprofen | C₁₅H₁₄O₃ | 242.1 | 9.99 | 9.51 | 18.55 |
| 13 | Ifenprodil | C₂₁H₂₇NO₂ | 325.5 | 3.06 | 10.54 | 16.70 |
| 14 | Indomethacin | C₁₉H₁₆ClNO₄ | 357.8 | 1.17 | 4.59 | 16.82 |
| 15 | Mefenamic acid | C₁₅H₁₅NO₂ | 241.3 | 0.33 | 4.01 | 15.61 |
| 16 | Metoprolol | C₁₅H₂₅NO₃ | 267.4 | 0.91 | 4.59 | 14.08 |
| 17 | Naproxen | C₁₄H₁₄O₃ | 230.3 | 2.21 | 5.27 | 17.37 |
| 18 | Theophylline | C₇H₈N₄O₂ | 180.2 | 0.16 | 1.53 | 9.69 |
| 19 | Propranolol | C₁₆H₂₁NO₂ | 259.3 | 1.30 | 11.12 | 15.05 |
| 20 | Ceftiofur | C₁₉H₁₇N₅O₇S₃ | 560.0 | 24.63 | 28.29 | 40.09 |
| 21 | Chlorotetracycline | C₂₂H₂₃ClN₂O₈ | 478.9 | 4.35 | 6.52 | 13.30 |
| 22 | Oxytetracycline | C₂₂H₂₄N₂O₉ | 460.4 | 3.75 | 7.36 | 15.04 |
| 23 | 2-Quinoxaline carboxylic acid | C₉H₆N₂O₂ | 174.2 | 0.21 | 1.80 | 11.13 |
| 24 | Sulfadimidine | C₁₂H₁₄N₄O₂S | 278.3 | 2.91 | 6.98 | 15.17 |
| 25 | Sulfadimethoxine | C₁₂H₁₄N₄O₄S | 310.3 | 6.64 | 8.00 | 15.64 |
| 26 | Sulfamethoxazole | C₁₀H₁₁N₃O₃S | 253.3 | 17.02 | 15.82 | 24.59 |
| 27 | Sulfamonomethoxine | C₁₁H₁₂N₄O₃S | 280.3 | 16.93 | 15.69 | 24.45 |
| 28 | Tetracycline | C₂₂H₂₄N₂O₈ | 444.4 | 2.18 | 4.97 | 14.22 |
| 29 | Isopropylantipyrine | C₁₄H₁₈N₂O | 230.3 | 11.38 | 9.72 | 19.69 |
| 30 | Ketoprofen | C₁₆H₁₄O₃ | 254.3 | 109.44 | 86.91 | 104.53 |
3.1 分子量と反応速度定数の関係
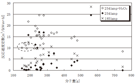
表2に示す結果を基に分子量と反応速度定数の関係について検討を行ない,その関係を図2に示す。Ketoprofen,Diclofenac,Ceftiofurは反応速度定数が大きく,紫外線処理において除去しやすい物質であることがわかった。しかし,これらは他のPPCPsの反応速度定数と分子量のグラフの分布から大きく外れているので,多くのPPCPsが分布している範囲で再度検討を行なった (図3)。
紫外線単独処理(254lamp,185lamp)の場合,分子量と反応速度定数の相関は見られなかった。促進酸化処理(254lamp+H₂O₂)の場合,分子量250付近をピークに分子量の増大と共に反応速度定数が減少しているようにも見て取れるが明確ではなかった。
また促進酸化処理において,図3より分子量が小さく,反応速度定数が小さい物質(図3の点円部)に注目すると,それらはAcetaminophen,Ethenzamide,2-Quinoxaline carboxylic acid,Theophylline,N,N-diethyl-m-toluamide(DEET)であり,このうちAcetaminophen,Ethenzamide,DEETの3つにamide基が含まれていることから,官能基にamide基を持つ物質は紫外線単独処理だけでなく,促進酸化処理においても除去しにくいことが分かった。しかし,そのamide基を構造式に持つDisopyramideは促進酸化処理,紫外線単独処理のどちらにおいても比較的分解しやすい物質であり,この物質の反応はamide基以外の部分において反応が起きていると考えられる。
図2 反応速度定数と分子量の関係(1)
図3 反応速度定数と分子量の関係(3)
3.2 不飽和度と反応速度定数の関係
今回用いた物質の多くは二重結合や環状結合の構造を持っていることから,各物質の不飽和度を求め,反応速度乗数との関係について検討を行なった。
図4に示すように,紫外線単独処理,促進酸化処理のどちらの条件でも不飽和度が大きくなると反応速度定数が大きくなる傾向が見られた。このことから,紫外線処理による除去の反応は二重結合の解離や付加反応,開環によるものと考えられる。また,不飽和度と反応速度定数の相関係数を求めると254lamp+H₂O₂>185lamp>254lampとなることから,不飽和度は光直接反応よりラジカルによる反応に影響を与えると考えられる。
図4 不飽和度と反応速度定数の関係
3.3 結合解離エネルギーと除去特性の関係
紫外線単独処理(光直接分解)の除去特性について結合解離エネルギーを用いて検討を行なった。
表3に示す波長254nmと波長185nmの光子エネルギーは図5に示す有機物の結合解離エネルギーよりも大きく,エネルギー的にはほとんどの物質の結合を解離できるエネルギーを有している。しかし,実際には物質の波長吸収特性や反応部位の選択性もあると考えられるので,結合解離エネルギーのみで説明することは難しいと考えられる。
| 波長 | 光子エネルギー |
|---|---|
| 254nm | 472kJ/mol |
| 185nm | 647kJ/mol |
図5 結合解離エネルギーの例
4.まとめ
今回の結果・考察をまとめると以下の通りである。
- 今回の検討では分子量と反応速度定数の関係は明確ではなかったが,紫外線(254nm)単独処理におけるPPCPsの分解特性はamide基を持つ物質が分解し難い傾向を持つことがわかった。
- 構造式より求めたPPCPsの不飽和度が大きいと分解反応速度定数が大きくなる傾向が見られる。
- 解離結合エネルギーによる考察のみでは除去(分解)特性の傾向を判断することは難しい。
また,今回の考察より得られた紫外線による処理で除去し易い物質と除去し難い物質の構造の例を図6,図7に示す。
図6 紫外線処理で除去し易い物質
図7 紫外線処理で除去し難い物質
今後,物質の光吸収特性を確認して分解反応のメカニズムの解析を行なうとともに,この処理システムの最適条件の検討を行なう予定である。
この内容は第10回水環境学会シンポジウム4)にて発表を行なったものである。
なお本研究は,環境省環境技術開発等推進費「水環境に見出される医薬品の排出段階における物理化学的処理に関する研究」の助成を受けて行なった。
参考文献
- 田久保剛,金一昊,田中宏明ほか:紫外線処理によるPPCPsの除去効果と物質特性について,第10回水環境学会シンポジウム講演集,pp.152-153 (2007).
この記事は弊社発行「IWASAKI技報」第17号掲載記事に基づいて作成しました。
(2007年11月9日入稿)
製品詳細
テクニカルレポートに掲載されている内容は、原稿執筆時点の情報です。ご覧の時点では内容変更や取扱い中止などが行われている可能性があるため、あらかじめご了承ください。